近日,农学院张吉旺教授团队在《European Journal of Agronomy》在线发表了题为“Responses of canopy functionality, crop growth, and grain yield of summer maize to shading, waterlogging, and their combination stress at different crop stages”的研究论文。胡娟博士、于维祯硕士为该论文的第一作者,张吉旺教授和任佰朝副教授为该论文的通讯作者。
气候变化导致夏玉米生长季阴雨寡照等气象灾害频发,且生产中阴(弱光)和雨(涝渍)往往相伴发生,其受害程度因逆境叠加而加剧。以往的研究多在弱光、涝渍单一因素下进行,难以衡量阴(弱光)与雨(涝渍)复合对玉米生产的直接影响。该团队通过设置不同生育时期淹水、遮阴及遮阴淹水复合胁迫处理,以正常水分管理和自然光照条件为对照,研究弱光、淹水及其复合胁迫对夏玉米冠层功能、作物生长及产量形成的影响,探讨弱光、淹水及其复合胁迫导致玉米减产的生理机制。
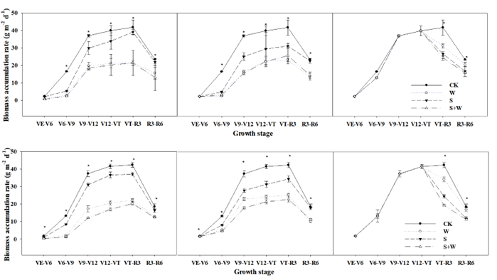
该研究表明,遮阴、淹水及其复合胁迫显著降低夏玉米叶面积指数,破坏冠层结构和功能,导致光能截获、光能利用率显著下降,产量分别降低7.5-27.1%,9.5-34.4%和29.2-39.4%。不同生育阶段夏玉米叶片SPAD值、叶面积指数增长动态以及冠层结构和功能对遮阴、淹水及其复合胁迫的响应存在差异,导致不同生育阶段胁迫对夏玉米产量的影响程度不一。夏玉米V6-R6阶段,尤其VT-R3阶段,干物质积累速率与夏玉米穗粒数和千粒重显著正相关(图1)。生育前期遮阴对夏玉米光能截获、光能利用和干物质积累的影响较小,产量降低幅度较低,然而VT时期遮阴显著降低VT-R3阶段的光能利用效率,从而降低干物质积累速率和产量;生育前期淹水对夏玉米叶片SPAD值、叶面积指数和植株形态建成影响显著,导致各时期干物质积累速率显著降低,产量下降显著,而生育后期淹水,夏玉米产量降低幅度较小;生育前期复合胁迫抑制叶片生长发育,降低叶片SPAD值,阻碍夏玉米形态建成,后期降低叶片光能利用效率,从而降低产量,各时期复合胁迫均显著降低产量(图2,图3)。不同生育时期复合胁迫对夏玉米生长发育及产量的影响均大于单一胁迫,但影响幅度小于两单一胁迫的加和,即遮阴、淹水对夏玉米生长有一定程度的叠加作用。
该研究解析了不同生育时期夏玉米群体光截获、冠层功能、光能利用效率和生物量积累与分配特性对遮阴、淹水及其复合胁迫的差异响应,对黄淮海地区夏玉米抗逆栽培生产具有重要意义。

图1. 干物质积累速率与光截获、光能利用和产量构成因素的相关性分析

图2. 不同生育时期遮阴、淹水及其复合胁迫对夏玉米光能截获的影响

图3. 不同生育时期遮阴、淹水及其复合胁迫对夏玉米干物质积累速率的影响
该研究得到山东省高等学校青创计划、国家自然科学基金项目、山东省博士后创新计划、国家现代农业产业技术体系建设专项和国家重点研发计划的资助。
论文链接:https://doi.org/10.1016/j.eja.2023.126761
编 辑:万 千
审 核:贾 波








